Inredning
Inredning för att stödja gods
Inredningen i lådor och häckar används för att förankra och stödja godset under transport. Oftast tillverkas inredningen av trä men det förekommer även inredning i stål. Inbyggnadsdelar som fästs vid botten skyddar mot de horisontella och vertikala påkänningar som orsakas av transporter. För att motverka tipprörelser kan stöttor användas. Tvärs- och längsstagningar spikas eller skruvas samman med sidor eller gavel.
I möjligaste mån ska vaggor och inredning fästas mot botten, med hänsyn tagen till bottens böjning. Helst ska godset fästas med genomgående bultar eller franska skruvar mot medarna. Ibland behövs extra stöttning av förstagningarna upp till stödlisterna eller lådväggen för att garantera att trycket överförs till hela ytan.
Stöttningarna behöver oftast kompletteras med diagonalförstagningar vid gavlarna och sidorna för att förhindra att väggdelarna förskjuts.
Säkerhetsavståndet mellan gods och emballage anges vanligen till 30 mm. Vid utsatta ställen och vid tätt spärrskiktshölje ska säkerhetsavståndet vara 50 mm.

Figur 4.30 Exempel på inredning för att stötta ett gods med förskjuten tyngdpunkt så att vikten fördelas jämnt över hela botten på förpackningen.

Figur 4.31 Infästning av gods.
a) Fastskruvning i ett stöd som står på botten.
b) Fastskruvning ända ner i meden.

Figur 4.32 Blockeringsmetod för lådor och häckar, med fastskruvade träreglar i botten innanför gavlarna.
Stötdämpning
Stötdämpning betraktas ibland som en del av inredningen. Medan inredningen skyddar godset genom att det hålls på plats i träförpackningen så skyddar stötdämpningen från skador när förpackningen utsätts för stötar eller vibrationer, exempelvis vid växling mellan järnvägsvagnar eller ojämnt väglag. Stötdämpning fungerar som skydd i både lådor och häckar. Det finns ett stort antal stötdämpande material. Vid val av stötdämpare beaktas bland annat godsets vikt för att avgöra volymen dämparmaterial. För lite dämparmaterial gör att dämparen trycks ihop helt. För mycket material gör att dämparen blir stel och inte trycks ihop utan att stötenergin överförs till godset. Sidorna på godset måste kunna stå emot trycket från stötdämparna. Är sidorna alltför klena deformeras de innan stötdämparen gör det. Produktionsformen och godsets värde samt transportsättet är andra faktorer som inverkar på valet av stötdämpare. Skumgummi, foam eller träspån ska inte användas vid transport av vibrationskänsligt gods.
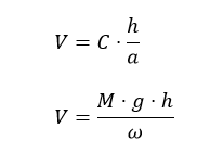
I figur 4.33 visas en förenklad sammanfattning av principen för beräkning av tjocklek, och volym av ett visst stötdämpande material.
Stötdämpande material kan karakteriseras med hjälp av stötdämpningsfaktorn C och energiupptagningsförmågan per volymenhet ω.
Den erforderliga tjockleken och volymen för stötdämpningsmaterialet beräknas som:

där:
t är dämparstorleken.
C är stötdämpningsfaktorn.
a är stöttåligheten g.
h är fallhöjden.
M är massan.
g är jordaccelerationen.
ω är dämpningsmaterialets energiupptagningsförmåga per volymenhet.
V är dämparvolymen.
För ett bra stötdämpningsmaterial har C-faktorn som lägst värde 2 – 3. Tabell 4.8 ger ungefärliga värden på några materials stötdämpningsförmåga och energiupptagningsförmåga.

Figur 4.33 Sambandet mellan C och ω kallas för materialets stötdämpningsfunktion.
Tabell 4.8 Exempel på stötdämpande materials stötdämpningsfaktor och energiupptagningsförmåga (cirkavärden).

Källa: Transportförpackning. Konstruktionshandbok, PackForsk.
Vadderande material
Det finns olika typer av material som kan användas löst runt godset.
Luftkuddar består av elastisk film som passar för den specifika användningen och är fyllda med luft. Vid belastning trycks luftkuddarna ihop och fungerar som dämpare. Fördelen med luftkuddar är att de är enkla att hantera, är inte hygroskopiska, finns i många varianter, klarar extrema förhållanden och har bra buffertegenskaper. Nackdelarna är att de går sönder i kontakt med vassa föremål och att egenskaperna förändras vid flygtransport på grund av lägre lufttryck.
Bubbelplast har ungefär samma egenskaper som luftkuddar. Den består av två plastfilmslager, en slät sida och en med runda bucklor, som fångar in luften när de sammanfogas. Bubbelplast används i huvudsak innanför träförpackningen.
Skumkuddar tillverkas av polyetylen, polystyren eller polyuretan. Skummaterial kan ha olika hårdhet på grund av sin densitet och cellstruktur vilket gör det till ett flexibelt dämpmaterial.