Metoder för fysikaliskt och kemiskt skydd
Vissa typer av gods är känsligt för korrosion och tar skada även vid en begränsad påverkan av rost. Det är viktigt att ta reda på hur känsligt godset är för att välja rätt nivå på fuktskydd. Fysikaliskt och kemiskt skydd är bäst lämpat för lådor även om det i vissa fall även kan fungera vid emballering på lastpall. Godset kan skyddas av antikorrosionsmedel, barriärskydd alternativt ventilation eller flera av metoderna i kombination. Korrosion definieras som angrepp på ett material genom kemisk eller elektrokemisk reaktion med ett omgivande medium. Oftast avses rostangrepp på metaller, vilket orsakas av klimatväxlingar, förhöjd luftfuktighet och luftföroreningar. Regn, sjövatten, hög relativ luftfuktighet (RF), hög temperatur, temperaturväxlingar och kemisk påverkan är yttre faktorer som ökar risken för korrosion. Järn och koppar är generellt känsliga mot vatten, medan aluminium och zink klarar fukt vid PH-värden mellan 5 och 8. Förutom rost kan fukt ge skador på godset i form av färgförändringar, dålig lukt, fläckar och matta metallytor.
Skyddsperioden för ett korrosionsskydd kan variera från några dygn vid flygfrakt till flera år vid lagring av militärt gods. Höga krav ställs också vid sjötransport och gods som är tillverkat av sammansatta material.
Emballage med jämna ytor, utan skarpa hörn och kanter minskar risken för korrosion.
Många förpackningsmaterial kan om förpackningen är för tät bidra till att öka risken för korrosion, exempelvis innehåller plast mjukningsmedel, papper sulfat och trä ättiksyra.
Det finns inget exakt förhållande mellan olika träslags pH-värde och deras korrosivitet mot metaller, men en tumregel är att vid pH < 4 föreligger korrosionsrisk och vid pH > 5 är risken försumbar.
De vanligaste träslagen i svenska förpackningar har pH-värdet 5,1 för furu och 5,3 för gran.
Impregneringsmedel kan påverka pH-värdet på trä och därmed ha en inverkan på korrosion. Skivmaterial, som plywood, kan avge flyktiga substanser som myrsyra och kolväte. Störst känslighet för korrosionsangrepp orsakade av trä visar kolstål, zink, magnesium och bly.
Genom rätt förpackning kan korrosionsangreppen undvikas.
Gods som exporteras utsätts ofta för växlingar i temperatur och fukt. Foto Most Photos.
Ogenomsläpplighet mot avrinningsvatten – ventilation
Kondens kan orsakas både av variationer i temperatur och luftfuktighet, RF. Det är därför viktigt att det yttre emballaget är ogenomsläppligt mot avrinningsvatten och konstruerat för att begränsa inre fuktighet. Därför ventileras emballaget genom hål som inte släpper in regnvatten och med dräneringshål för eventuellt kondensvatten. Vid lådans ena gavelhörn görs två likadana hål med diametern 20 mm. I diagonalt motsatt hörn görs två liknande hål så nära botten som möjligt. Hålen borras i samtliga fall snett uppåt och med ett centrumavstånd från varandra av 40 mm. Hålen täcks med en finmaskig mässingsduk som spikas på insidan av lådan, för att hindra skadedjur att ta sig in i emballaget. På utsidan skyddas hålen av en speciellt bockad skyddsplåt.

Figur 5.1 Exempel på utformning och placering av ventilationshål.
Behandling av godset
Godset kan behandlas direkt med ett skyddande lager av korrosionsskyddsmedel. Vid val av medel är det viktigt att välja ett medel som klarar alla de klimat som godset utsätts för under transporten.
En metod att skydda mot korrosion är att med oljor av olika slag åtskilja metall och vatten. Vatten finns antingen i en atmosfär med en relativ luftfuktighet, RF, över 50 % eller i utkondenserad form. Skyddstiden för olika korrosionsskyddsmedel varierar beroende på sammansättning och filmtjocklek från någon månad till flera år. Medlen ska vara lätta att avlägsna, särskilt om produkterna efteråt ska få någon form av ytbehandling. För skydd av bearbetade detaljer inom industrin har lösningsmedelsbaserade korrosionsskyddsmedel i stor utsträckning använts. Dessa är lätta att applicera och ger ett gott skydd. Till nackdelarna hör hälsorisker vid hantering av lösningsmedel.
Det finns idag på marknaden ett antal olika typer av temporära korrosionsskyddsmedel och de kan efter användningsändamål och sammansättning delas in i följande grupper:
Korrosionsskyddsvätskor
Korrosionsskyddsvätskor innehåller normalt mineraloljor eller vaxer som är lösta i ett lösningsmedel. När lösningsmedlet avdunstat kvarlämnas en oljig eller vaxliknande beläggning på detaljerna. Produkterna används ofta för att skydda maskindetaljer och verktyg under transport och lagring samt vid mellanlagring av bearbetade detaljer.
Vattenbaserade korrosionsskyddsmedel
Dessa produkter består vanligen av en emulsion av mineralolja och vatten. Appliceringen sker genom doppning, sprutning eller pensling. Vattnet verkar endast som spädningsmedel för att underlätta appliceringen. När vattnet har avdunstat kvarstannar en tunn oljig film på detaljernas yta. Produkterna lämpar sig bäst som korrosionsskydd vid mellanlagring eller kortare transportskydd av till exempel bearbetade detaljer. Korrosionsskyddsinhibitorer tillsättes ofta produkten för att öka korrosionsskyddet.
Rostskyddsoljor
Rostskyddsoljan innehåller inga lösningsmedel. Förutom rostskyddet har oljan mycket goda smörjande egenskaper som kan utnyttjas i motorer och växellådor eller vid bearbetningsoperationer. Rostskyddsoljor läggs på i slutet av produktionen av godset som ska skyddas.
Korrosionsskyddsfetter
Korrosionsskyddsfetter innehåller bland annat mineraloljor, fetter, metallsåpor och korrosionsinhibitorer. Produkterna används när korrosionsskyddet behöver kombineras med en smörjande verkan. Det ger ett mycket gott korrosionsskydd.
Skydd genom vattentäta barriärer – tätt spärrskikt
Syftet med barriärer och spärrskikt är att reducera och hålla fuktbelastningen i förpackningen jämn under transport och lagring. Fukt kan komma från inre stödanordningar, från själva godset, från emballaget eller genom inträngning utifrån. Kriteriet för val av diffusionsmaterial är genomsläpplighet för vattenånga.
Erfarenheter har visat att skadlig inverkan på gods orsakat av fukt i praktiken inte förekommer vid relativ luftfuktighet, RF, under 40 % vid 15 °C vilket motsvarar 5 g vatten/m3 luft. Det är betydligt torrare än de klimat som en exportförpackning kommer att utsättas för.
För att upprätthålla låg och jämn relativ luftfuktighet i godsets omgivning kan torkmedel placeras inuti den vattentäta förslutningen.
Den tid under vilken det emballerade godset utsätts för klimatpåkänningar under lagring och transport kan variera mycket. Den effektiva skyddsperioden för fysikaliskt och kemiskt skydd brukar ofta anges till 24 månader.




Tillvägagångssätt för packning av gods i trälåda med barriärmaterial av aluminiumfolielaminat. Det är viktigt att vara noggrann och få barriärmaterialet absolut tätt med sammansvetsade fogar. Foto Protective Packaging Ltd.
Polymera filmer
Polymera filmer indelas vanligen i plastfilmer, avdragbara plastfilmer och smältplaster. Tillsammans med ventilation kan någon form av filmbildande rostskyddsmedel användas för att begränsa rostangrepp på tunga produkter. Förpackningen ska dock inte utsättas för alltför stora temperaturskillnader.
Ångfasinhibitorer
Ångfasinhibitorerna karaktäriseras av förmågan att avgå i ångform och fylla ett slutet rum. En bra produkt anses ge rostskydd på avstånd upp till 300 mm, men VCI-materialet bör inte appliceras mer än 30 mm från godset som ska skyddas. De flesta pappersbelagda ångfasinhibitorerna håller mellan 12 – 14 g/m2 aktiv kemikalie. Till detta kommer bindemedel på 5 – 8 g/m2.
Ångfasmetoden eller VCI, Volatile Corrosion Inhibitors, innebär att ett nitrit som har benägenhet att övergå i ångform fyller luftrummet och neutraliserar korrosionsprocessen. VCI-medlen kan appliceras på ytor i form av pulver, spray, olja, eller VCI-papper. Det finns olika typer av VCI som ger olika effekt och verkar på olika slags metaller. Det är viktigt att följa instruktionen från leverantören för att få en anpassad lösning.
Den mest kända produkten är VPI, Vapor Phase Inhibitor, ett organiskt nitrit som avgår i ångform och under lång tid skyddar mot korrosionsangrepp.
Metoden kan användas vid transport av smådetaljer som skruvar, kullager och reservdelar och vid lagring och transport av finare instrument till flygplan, sjukvårdsutrustningar, datorutrustningar samt militära förrådsmaterial.
Erforderlig mängd ångfasinhibitor för ett fullgott skydd avgörs av ytterförpackningens typ och täthet. Som riktvärde anges att det fordras 36 g VPI för att mätta 1 m3 luft. I en tät förpackning är denna mängd tillräcklig för att ge ett skydd på 8 – 10 år.
Med VCI-metoden förenklas förpackningsarbetet genom att arbetet med att anbringa och avlägsna olika rostskyddspreparat elimineras. Skyddet behöver inte heller anpassas till godsets form eftersom ångorna sprider sig i förpackningen.
Förutom att godset inte behöver avoljas eller avfettas ger metoden mycket god långtidsverkan. Förpackningen bör vara tillsluten men den behöver inte vara förseglad – ju tätare förpackning ju bättre skydd. Skyddseffekten beror också på omgivande temperaturer och vindstyrka då luftväxling avlägsnar ånga. Vid temperaturer över 55 °C ökar ångavgången och lagringstiden förkortas. Förpackningen måste skyddas mot inträngande vatten, som kan spola bort beläggningen på VCI-papper. VCI-metoden ska ej användas tillsammans med torkmedel eller motsvarande som adsorberar ångan. Vid inpackning i trälådor bör lådan och eventuella stöd och mellanlägg av trä kläs med korrosionsskyddspapper för att undvika direktkontakt med metallytor.
VCI-metoden är inte användbar för metaller som zink, tenn, bly, kadmium eller silver.
När det gäller rostskydd i allmänhet behövs först en bedömning av vilka krav som ställs, ibland nås bästa resultat genom en kombination av olika metoder, som rostskyddsoljor och ångfasinhibitorer.
Torkmedel
En vanlig metod att skydda gods mot fuktskador är att använda torkmedel. Luftrummet i en förpackning avskiljs tillsammans med godset från atmosfärens luft genom ett hölje av ett barriärmaterial som ska vara så ångtätt som möjligt. Det inneslutna luftrummet uttorkas med torkmedel så att korrosion under den fastställda skyddsperioden förhindras. Detta sker när den relativa fuktigheten, RF, understiger cirka 40 %. Som barriärmaterial används vanligtvis polyetenfolie, PE, med tillräckligt låg genomsläpplighet för vattenånga. Behövs material av trä, papp, papper och dylikt för stagning och inklädning krävs ytterligare torkmedel för att torka upp den fukt de innehåller.
Torkmedel används i de fall där kemisk påverkan utesluter andra skydd. Korrosionsskyddet ska kunna avlägsnas utan rester eller när fuktskydd vid lagring under långtid krävs. Det finns speciella fuktighetsindikatorer för övervakning av den relativa fuktigheten. Indikatorerna används främst vid långtidslagring. Dessa indikerar ett gränsintervall för den relativa fuktigheten, och visar om det tillåtna intervallet, oftast 40 – 50 %, överskridits.
Exempel på gods där användning av torkmedel är lämpligt:
- Maskiner och maskindelar
- kemisk processapparatur
- elektrisk utrustning
- militär utrustning
- optiska instrument och detaljer
- farmakologiska produkter
- läkemedel och kemikalier
- ömtåliga halvfabrikat som tråd och plåt.

Torkmedelspåsar i olika standardiserade storlekar. Foto Protective Packaging Ltd.

Figur 5.2 Applicering av barriärfilm och torkmedel i förpackning.
Applicering av torkmedel
Torkmedlet ska appliceras i den översta tredjedelen av förpackningen. Förpackningen måste vara designad så att vatten inte kan bli stående på barriärfilmen. Svetsningen av skarvarna måste vara fackmannamässigt utförda. Inga skyddande lager får tas bort. Vassa hörn och utstickande delar av godset måste vadderas. Förpackningens lufttäthet behöver kontrolleras. Använd hygroskopiska påsar innanför filmen med låg relativ luftfuktighet, RF. Undvik direkt kontakt mellan torkmedelspåsarna och metallytor. Skydda ytor efter fastsättning, både perforering, spik och skruvhuvuden.
Torkmedelsbegrepp
- Torkmedelspåse, TMP är en så gott som dammtät vattenångsgenomsläpplig påse med kemiskt trög inert vattenadsorberande fyllning, bentonit, kiselgel eller blågel, som torkmedel. För olika godsstorlekar och emballagetyper är torkmedelspåsarna standardiserade med följande innehåll : 1⁄6, 1⁄3, 1⁄2, 4, 8, 16, 32 torkmedelsenheter.
- Torkmedelsenhet, TME En torkmedelsenhet är den mängd torkmedel som i jämvikt med luft vid 23 °C ska adsorbera följande mängder vattenånga: minst 3,0 g vid relativ luftfuktighet, RF, 20 % och minst 6,0 g vid RF 40 %.
- Vattenånggenomsläpplighet (VÅG) Vattenånggenomsläppligheten är den mängd vattenånga i gram som tränger igenom 1 m2 barriärmaterial under 24 timmar i förväntat klimat.
Torkmedel som fuktskydd fungerar bara om luftrummet runt godset är skilt från ytterluften genom ett tätt emballage. För exportförpackningar handlar det mestadels om flexibla höljen av tämligen vattenångtäta folier eller folielaminat som kan impulssvetsas eller värmeförseglas. Som praxis anges att för destinationer i Europa används 0,2 mm PE. Aluminiumfolielaminat rekommenderas vid sändning av gods till och genom tropiska och subtropiska klimatzoner, länder med dåliga hamnar eller vägförhållanden samt vid långtidslagring oavsett klimat.
Nödvändigt antal torkmedelsenheter kan beräknas när följande förutsättningar är kända:
- Tillåtet fuktinnehåll som godset tål utan skador.
- Innervolymen av barriärhöljet som utgångspunkt för innesluten fuktighet, det vill säga vattenånga.
- Luftfuktigheten i packrummet under emballeringen.
- Fuktkvot i det använda hygroskopiska packmaterialet av trä och lastpall för stagning och inklädning.
- Ytan av barriärmaterialet i kvadratmeter.
- Den kalkylerade transport- och lagringstiden i dygn.
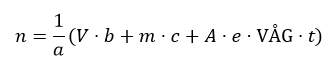
Formel för beräkning av torkmedelsenheter, TME:

där:
n är antal torkmedelsenheter.
V ∙ b är vattenhalt i innesluten luft.
m ∙ c är vatteninnehåll i packhjälpmedel innanför barriärmaterialet. I packhjälpmedel av trä är virkets fuktkvot av stor betydelse.
A ∙ e ∙ VÅG ∙ t är den vattenmängd som på grund av VÅG-faktorn hos barriärmaterialet kan tränga in i barriärmaterialet.
Om olika klimatförhållanden förväntas under transport- och lagringstiden kan deltiderna sättas in i formeln med sina resp VÅG-värden. Vid lagringstider över ett år bör aluminiumfolielaminat användas. Aluminiumfolielaminat har liksom hermetiskt tillslutna förpackningar ett VÅG-värde som är försumbart, vilket innebär att den delen av formeln inte behöver tillämpas.
Förenklad torkmedelsberäkning
En torkmedelsenhet måste kunna ta upp minst 6 gram vatten vid en relativ fuktighet, RF, av 40 %.
Välj barriärmaterial:
- PE, minst 0,2 mm tjock, för korta skyddsperioder i tempererat klimat. VÅG = 0,4 g/m2 ∙ dygn vilket håller upp till 12 månader. Klarar temperaturer på +40 °C till −20 °C.
- Aluminiumlaminerad folie för kort- och långtidslagring i alla klimattyper. VÅG = < 0,1 g/m2 ∙ dygn och håller upp till 24 månader. Aluminiumfolielaminat klarar temperaturer på +70 till −35 °C. Det finns många varianter av aluminiumfolielaminat, som kan tillverkas med upp till fem lager.
Beräkning
- Mät upp ytan på barriärmaterialet i kvadratmeter.
- Fastställ den kalkylerade transport och lagringsperioden i dagar.
- Väg det vattenhaltiga packmaterialet i kg, som används för att stötta och klä in packgodset innanför barriären.

För att torkmedelsmetoden ska fungera krävs att det finns täta barriärhöljen runtom av lämpliga material. Barriärmaterialet måste skyddas mot punktering genom vaddering av skarpa hörn och kanter på godset. Vid genomgående skruvar och bultar krävs noggrann tätning. Dessutom krävs låg vattenhalt i packmaterialet innanför barriären, till exempel papp och klossningsvirke, som används för att klä in och stötta godset.
Barriärmaterial förekommer även vid transport på pall, med och utan luftfuktighetsindikator. Foto Protective Packaging Ltd.